7.11 design
1.Tujuan [kembali]
- Untuk menyelesaikan tugas mata kuliah elektronika yang ditugaskan oleh Bapak Darwinson, M.T.
- Memahami dan mempelajari Design.
- Mengetahui komponen dari Design
- Mampu mengaplikasikan rangkaian pada Design
2. Komponen[kembali]
1. Power Supply
![]() |
| Baterai |
BAHAN
1. Resistor
2. Transistor
3. Ground
3. Dasar Teori [kembali]
Proses desain tidak terbatas hanya pada kondisi dc. Area aplikasi, tingkat amplifikasi yang diinginkan, kekuatan sinyal, dan kondisi operasi hanyalah beberapa kondisi yang masuk ke dalam proses desain total. Langkah pertama biasanya adalah menetapkan tingkat operasi DC yang tepat.
![]() |
| Gambar 7.50 Konfigurasi bias diri untuk dirancang |
Sebagai contoh, jika tingkat VD dan ID ditentukan oleh jaringan pada Gambar 7.50, tingkat VGSQ dapat ditentukan dari plot kurva transfer dan Rs kemudian dapat ditentukan dari VGS = ID.RS. Jika VDD ditentukan, tingkat RD kemudian dapat dihitung dari RD (VDD - VD) / ID. Tentu saja, nilai RS dan RD mungkin bukan nilai komersial standar, yang mengharuskan penggunaan nilai komersial terdekat. Namun, dengan toleransi (kisaran nilai) yang biasanya ditentukan untuk parameter jaringan, sedikit variasi karena pilihan nilai standar jarang menimbulkan kekhawatiran nyata dalam proses desain.
Di atas hanyalah satu kemungkinan untuk fase desain yang melibatkan jaringan pada Gambar 7.50. Ada kemungkinan bahwa hanya VDD dan RD yang ditentukan bersama dengan tingkat VDS. Perangkat yang akan digunakan mungkin harus ditentukan bersama dengan tingkat RS. Tampaknya logis bahwa perangkat yang dipilih harus memiliki VDS maksimum yang lebih besar dari nilai yang ditentukan dengan margin aman.
Secara umum, ini merupakan praktik desain yang baik untuk amplifier linier untuk memilih titik operasi yang tidak memenuhi wilayah tingkat saturasi (IDSS) atau batas (VP). Tingkat VGSQ yang mendekati VP / 2 atau IDQ di dekat IDSS / 2 tentunya merupakan titik awal yang masuk akal dalam desain. Tentu saja, dalam setiap prosedur desain tingkat maksimum ID dan VDS sebagai yang muncul di lembar spesifikasi tidak boleh dilampaui.
Contoh yang harus diikuti memiliki orientasi desain atau sintesis di tingkat tertentu yang disediakan dan parameter jaringan seperti RD, RS, VDD, dan seterusnya, harus ditentukan. Bagaimanapun, pendekatan ini dalam banyak hal berlawanan dengan yang dijelaskan di bagian sebelumnya. Dalam beberapa kasus, ini hanya masalah penerapan hukum Ohm dalam bentuk yang sesuai. Secara khusus, jika tingkat resistif diminta, hasilnya sering diperoleh hanya dengan menerapkan hukum Ohm dalam bentuk berikut:
Dimana VR dan IR seringkali merupakan parameter yang dapat ditemukan langsung dari tingkat tegangan dan arus yang ditentukan.
4. Example[kembali]
- Berdasarkan jaringan Gambar 7.51, tingkat VDQ dan IDQ ditentukan. Tentukan nilai RD dan RS yang dibutuhkan. Apa nilai komersial standar terdekatnya?
Solusi :.jpg)
Gambar 7.51
Seperti pada persamaan R :
Dari kurva transfer pada Gambar 7.51 dan menggambar garis horizontal pada IDQ = 2.5 mA akan menghasilkan VGSQ = -1 V, dan menerapkan VGS = - IDRS akan menetapkan tingkat Rs:.jpg)
Gambar 7.52 Menentukan VGSQ untuk jaringan Gambar 7.51
Nilai komersial standar terdekat adalah : - Untuk konfigurasi bias pembagi tegangan pada Gambar 7.53, jika VD =12 V dan VGSQ = - 2 V, tentukan nilai RS.
Solusi :.jpg)
Gambar 7.53
Nilai VG yang ditentukan sebagai berikut :
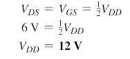
Persamaan untuk VGS kemudiann ditulis dan nilai yang diketahui diganti : - Jika VDS = 1/2 VDD and ID = ID(on) untuk jaringan Gambar. 7.54 . Tentukan tingkat VDD dan RD
..jpg)
Gambar 7.54
Solusi :
Diberikan ID = ID(on) = 4 mA dan VGS = VGS(on) = 6 V, untuk konfigurasi ini :
Dengan persamaan dari hasil (7.42) diperoleh nilai komersial standar :
5. Problem [kembali]
Pengukuran yang muncul pada Gambar 4.156 mengungkapkan bahwa jaringan tidak beroperasi dengan benar.Jelaskan secara spesifik mengapa level yang diperoleh mencerminkan masalah dengan jaringan yang diharapkanperilaku. Dengan kata lain, level yang diperoleh mencerminkan masalah yang sangat spesifik di setiap kasus.
- Rancang jaringan self-bias menggunakan transistor JFET dengan IDSS = 8 mA dan VP = - 6 V agar memiliki Q-point pada IDQ = 4 mA menggunakan supply 14 V. Asumsikan RD = 3RS dan gunakan nilai standar.
Solusi : - Rancang jaringan bias pembagi tegangan menggunakan MOSFET tipe deplesi dengan IDSS 10 mA dan VP 4 V untuk memiliki titik-Q pada IDQ 2,5 mA menggunakan suplai 24 V.Selain itu, atur VG 4 V dan gunakan RD 2.5 RS dengan R1 22 M. Gunakan nilai standar.
Solusi :
6. Pilihan Ganda [kembali]
- Suatu MOSFET memiliki nilai ID(on) = 10 mA pada VGS = 10 V dan VGS (th) = 1.5 V. Tentukan nilai ID jika VGS = 5V
A. 1.67 mA
B. 1,71 mA
C. 1.73 mA
D. 1.69 mA
Solusi :
7. Rangkaian [kembali]
8. Download File [kembali]

.jpg)
.jpg)

.jpg)
.jpg)
.jpg)
.jpg)
.jpg)
.jpg)
.jpg)
.jpg)
.jpg)




.png)
Komentar
Posting Komentar